Boolean Algebra Examples and Solutions Pdf

Returns the permanent of a matrix. NCERT Solutions For Class 12.


Boolean Algebra

Start your free trial.

. Often in the solutions a proof is only sketched and it is up to the student to provide the details. Below programs illustrate the working of javautilStackempty method. CBSE Sample Papers CBSE Sample Papers Class 8 Maths.

Formulas that are used in assertions or added to solvers are terms of Boolean sort. 19 Lattices and Boolean Algebras 239. The method returns boolean true if the stack is empty else it returns false.

Unlike determinant permanent is defined for both square and non-square matrices. Create a content parser using a metadata type object for the PDF document. The method does not take any parameters.

Be sure to complement the input variables in finding the proper cell location. Solutions to many of the exercises appears at the end of the text. Combining the variables and operation yields Boolean expressions.

In logic and computer science the Boolean satisfiability problem sometimes called propositional satisfiability problem and abbreviated SATISFIABILITY SAT or B-SAT is the problem of determining if there exists an interpretation that satisfies a given Boolean formulaIn other words it asks whether the variables of a given Boolean formula can be consistently replaced by the. For an m x n matrix with m less than or equal to n it is given as the sum over the permutations s of size less than or equal to m on 1 2. NCERT Solutions For Class 12 Physics.

32 Boolean Algebra 138 Boolean algebra is algebra for the manipulation of objects that can take on only two values typically true and false. It is not fully complete at this stage. Boolean operators are a versatile and valuable tool for anyone using search engines to look for information online.

Boolean algebra is a means of linking qualitative data to a more formal metric of analysis by identifying irreducible and non-redundant combinations of features which are associated with specified. 0 0 0 0 x 10 1 x 00 1 x 11 Now nothing seems unusual at first about this table of expressions since they appear to be the same as multiplication understood in our normal everyday system of numbers. 321 Boolean Expressions 139 Boolean Expression.

Question 4 The following set of mathematical expressions is the complete set of times tables for the Boolean number system. Now create a FileInputStream having the same path as that of the above PDF file created. Elementary algebra deals with the manipulation of variables as if they were.

The CSAPP book presents several examples where the interplay between signed and unsigned arithmetic leads to. Some examples of decimal numbers are-12 10 345 10 119 10 200 10 3139 10. Functions with Boolean range can be used to create formulas.

Your first 5 questions are on us. It is common to interpret the digital value 0 as false and the digital value 1 as true. The solutions manual currently contains all the exercises and solutions for most of them roughly 90.

Free Boolean Algebra calculator - calculate boolean logical expressions step-by-step. Heres a full color depiction of this color system. It is a unifying thread of almost all of mathematics.

They are mathematical operators used with a special syntax and can be used to expand or restrict search operations or programming sequences or to apply certain conditions. Value Of Sin 120. N of the product from i 1 to m of Mi si.

PDF document is now parsed using the PDF parser class. This guide lists the most useful Boolean operators with examples to. We locate the last three.

Otherwise terms of Boolean and non-Boolean sort may be mixed in. Learn more about HMHs newest classroom solutions. Print the content of the PDF document as created above to illustrate the extraction of content in the above PDF.

We map the 0s as they appear left to right top to bottom on the map above. Get step-by-step solutions from expert tutors as fast as 15-30 minutes. Transfer the seven maxterms to the map below as 0s.

Algebra from Arabic الجبر al-jabr reunion of broken parts bonesetting is one of the broad areas of mathematicsRoughly speaking algebra is the study of mathematical symbols and the rules for manipulating these symbols in formulas. Please note user data extraction does not include program content. Applied examples help the instructor provide motivation.

This problem uses the RGB color system as an illustration of a Boolean algebra. 25 is a decimal number then 2 is ten times more than 5. Simplify the Product-Of-Sums Boolean expression below providing a result in POS form.


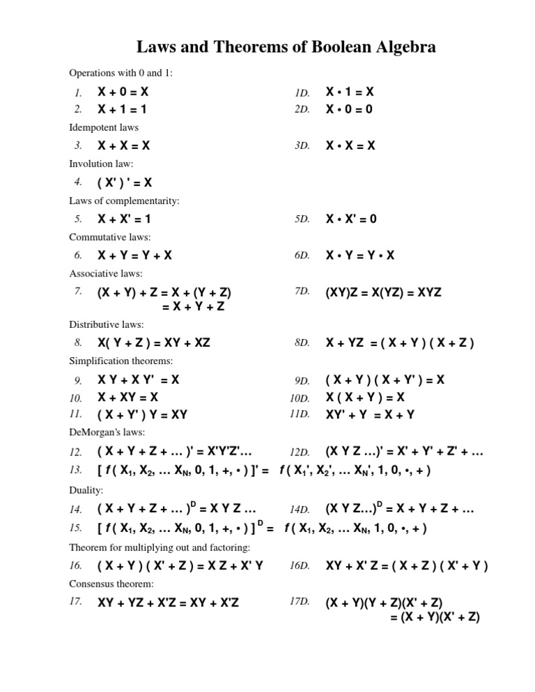
Laws And Theorems Of Boolean Algebra Pdf


Boolean Algebra 2 Basic Problems Youtube


2nd Puc Computer Science Question Bank Chapter 2 Boolean Algebra Kseeb Solutions


Pdf Cse320 Boolean Logic Practice Problems Solutions Jocet Quilaton Academia Edu

No comments for "Boolean Algebra Examples and Solutions Pdf"